[물리실험] 단진동 운동

1. 실험목적
단진자의 주기와 관계되는 양들을 살펴보고 중력가속도(g)의 값을 측정한다.

2. 실험원리
<Fig. 8-1>과 같이 질량이 무시되는 길이 l인 끈에 크기가 무시되는 질량 m인 추가 추중심에서 진자 끝까지의 거리가 l이 되도록 매달려 주기운동을 하는 것을 단진자라 한다. 추 m이 되돌아가려는 힘 F는


가 된다.
이 미분방정식의 해는

이다. 여기서 A는 진폭이고 아래와 같다.


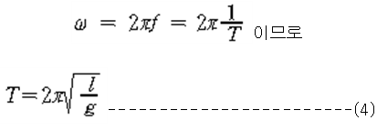
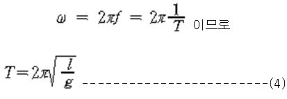
가 된다. 따라서,

이다.
그러므로 이 식에서 T와 l을 알면 g값을 구할 수 있다.
* 진폭에 따른 단진자의 주기
진폭이 작은 경우, 진자의 주기는 진폭과 거의 무관하다. 위의 식

라는 식에는 진폭 A에 관한 항이 없기 때문이다.
그러나 일반적으로 진폭이 큰 진자의 경우 진자의 주기는 진폭과 관계된다.
위의 계산과정에

라는 근사를 없애면 주기는 다음과 같다.

로 주어진다.
급수에서 항을 충분히 택함으로써 원하는 정도의 정확도로 주기를 계산할 수 있다.

3. 실험과정
1) 인터페이스를 컴퓨터에 연결하고, 모션센서를 인터페이스에 연결한다. 모션센서는 진자와 대략 20cm가량 떨어진 위치에 놓는 것이 가장 좋다.
2) 진자의 진동중심을 고려하여 추의 중앙보다 약간 낮은 지점부터 30cm 되는 지점까지를 진동시킨다. 추에 실을 묶은 매듭은 센서의 작동에 영향을 줄 수 있으니 최대한 짧게 잘라서 조금만 남기는 것이 좋다.
3) 추를 적당한 진폭으로 진동시킨다. 진폭에 따른 주기도 측정을 할 것이기 때문에, 너무 작게 진동시키지는 않는다. 또한 너무 진폭이 크면, 진자의 경로가 직선이 아님에 의해 역시 센서의 작동에 영향을 주므로, 대략 5~10cm(진자의 길이에 따라) 정도로 진동시킨다.
4) 측정한 데이터를 이용하여 진자의 길이, 진폭에 따른 주기를 기록한다. 우선 그래프를 보아서 대략적인 시간을 알고, 테이블을 통해 정확한 수치를 얻는다.
5) 주기를 이용하여 중력가속도g를 구한다.

실제 실험한 그림이다.
낮은 점의 위치가 불분명하므로 가장 높은 점의 주기를 평균하여 T를 구한다. 실제 시간을 볼 때에는 그래프에서 대략적인 시간을 본 뒤, 표를 이용하여 정확한 시각을 찾아 구한다.(그보다 좋은 방법은 오랫동안 진동시켜 linear fit을 한 뒤, 직선을 중앙값으로 이용하는 것이다. 수십분 동안 진동시키면, linear fit은 거의 기울기가 0이며, 중앙을 지나는 직선이 된다. 중앙의 값은 기울기가 큰 구간이라 점 하나가 명확하게 구분된다.)

4. 실험결과(g는 가장 작은 주기를 이용하여 계산)

a. 첫 번째 실험

b. 두 번째 실험


a. 첫 번째 실험

b. 두 번째 실험


a. 첫 번째 실험

b. 두 번째 실험

2021.09.14 - [물리실험] MBL을 이용한 공기 저항계수 및 종단속도 측정
[물리실험] MBL을 이용한 공기 저항계수 및 종단속도 측정
[물리실험] MBL을 이용한 공기 저항계수 및 종단속도 측정 Ⅰ. 실험목표 가속도 센서를 이용하여 저항이 있는 공기 내에서 물체가 수직으로 떨어질 때 물체가 받는 공기 저항의 계수를 구할 수 있
orange025.tistory.com

2021.09.14 - [물리 실험] MBL을 활용한 충격량과 운동량 보존 법칙 실험
[물리 실험] MBL을 활용한 충격량과 운동량 보존 법칙 실험
[물리 실험] MBL을 활용한 충격량과 운동량 보존 법칙 실험 Ⅰ. 실험목표 인터페이스를 이용한 1차원 충돌실험으로 충격량과 운동량의 관계를 이해하고 설명할 수 있고 2차원 충돌 실험에서 운동
orange025.tistory.com
'여기는 과학실 > 과학실험 이야기' 카테고리의 다른 글
| [물리실험] 반발계수의 측정 (0) | 2021.09.17 |
|---|---|
| [물리실험] 미급감쇠조화운동 (0) | 2021.09.16 |
| [물리실험] MBL을 이용한 공기 저항계수 및 종단속도 측정 (1) | 2021.09.14 |
| [물리 실험] MBL을 활용한 충격량과 운동량 보존 법칙 실험 (0) | 2021.09.14 |
| [물리실험] 기체의 단열팽창과 단열압축, 기압에 따른 끓는점 차이 실험(열역학) (0) | 2021.07.20 |