[물리실험] 반발계수의 측정

1. 이론적 배경
-두 개 이상의 물체가 짧은 시간 동안에 힘을 서로 작용하고 고립된 사건
-서로 접촉을 하지 않더라도 서로 힘이 작용한다면
-물리적 충돌


◎ 반발계수 : 두 물체가 일직선상에서 각각의 속도로 운동하다가 충돌한 후에 속도의 변화가 생겼을 때 충돌 후의 상대속도와 충돌 전의 상대속도의 비를 반발계수라고 하고 e로 표시한다.

두 물체가 속력 V1, V2로 운동하다가 충돌한 뒤 속력이 V'1, V'2로 되었다고 할 때 반발계수를 구하면

( - 부호가 붙은 것은 충돌 후 상대속도의 방향이 바뀌기 때문이다. )
반발계수 e는 0≦e≦1의 값을 갖는다.
(단. 여기서 말하는 가까워지는 속력과 멀어지는 속력은 상대속도를 말한다. 가까워지는 속력은 충돌 전의
상대속도 값으로 V1 - V2이고, 멀어지는 속력은 충돌 후의 상대속도 값으로 V'2 - V'1이다.)
반발계수는 충돌 전의 가까워지는 속도나 물체의 질량과는 상관없고 물체를 구성하는 물질에 따라 결정된다.
◎ 충돌의 종류 ( 반발계수의 값에 관계없이 운동량은 보존된다. )
ⓐ 완전 탄성 충돌 : 반발계수가 1인 경우를 말한다. 이 때에는 운동량 보존뿐만 아니라 운동 에너지도 보존된다.

이 경우에 두 물체의 질량이 같으면 두 물체의 속도는 교환된다.
ⓑ 비탄성 충돌 : 반발계수의 값이 0<e<1일 때를 말한다. V'2 - V'1의 값이 V1 - V2의 값보다 작다. 운동 에너지의 일부는 다른 형태의 에너지, 소리에너지나 열 에너지로 변한다.
ⓒ 완전 비탄성 충돌 : 반발계수의 값이 0일 때를 말한다. 충돌 후 두 물체는 하나가 되서 운동한다. 손실되는 운동 에너지는 소리·열 에너지로 바뀐다.
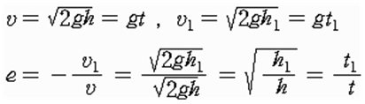
◎ 마룻바닥과 공이 정면 충돌하는 경우
높이 h인 곳에서 자유 낙하한 공이 반발계수 e인 바닥에 충돌하여 튀어오르는 높이 h'와 h'까지 올라가는 데 걸리는 시간 t1은 다음과 같이 구하면 된다

여기에서 다시 튀어 오르는 높이를 구하면 h1=e²h 가 된다. 또 그 때까지 걸리는 시간 t1=et 가 된다

2. 실험 계획 및 과정
1) 실험을 위해서 우선 탁구공에 샤프심을 이용해 조그마한 구멍을 뚫고 그 사이에 식용유와 우유 , 그리고 물을 각각 채운다. 그리고 반쯤 물을 채운 경우도 생각해 보자. 왜냐하면 빈 탁구공과 함께 꽉 찬 탁구공일지라도 그 내용물의 차이에 따라 반발계수가 어떻게 차이가 나는 지 알아보기 위해서이다.
2) 이렇게 준비된 탁구공4개 와 모션 센서 그리고 인터페이스를 컴퓨터에 연결시킨다.
3) 모션센서는 긴 막대 축을 이용하여 설치한 후 편평한 바닥에 탁구공을 떨어뜨린다.
주의 : 여기서 탁구공을 떨어뜨릴 때 양 손가락을 동시에 놓는다. 왜냐하면 동시에 놓지 않으면 공이 약간의 회전으로 인해 큰 오차가 발생할 수 있다.
- 여기서 편평한 바닥에 주의 하자!! 왜냐하면 탁구공에 약간의 구멍을 뚫어서 조금이라도 잘못 떨어뜨리면 탁구공이 모션센서의 측정범위를 넘어선다. 따라서 여러 번의 실험을 통해 최대한 탁구공이 움직이지 않는 경우를 이용하여 반발계수를 측정하였다.
5-1) 반발계수를 측정하는 방법에는 3가지 경우가 있다. 따라서 땅에 부딪히기 전의 속도와 부딪힌 후의 속도를 측정한다.(모션 센서를 이용)
5-2) 최고점의 높이를 측정한다.
5-3) 땅에 부딪히는 시간 간격의 비를 측정한다.

3. 실험 결과
1) 우선 속이 빈 탁구공의 반발 계수를 구하기 위해 각각의 속도와 높이 그리고 시간 간격을 측정 하였다.

속이 빈 보통의 탁구공
반발계수 : 0.89(높이비)
0.90(시간비)
2) 물을 반쯤 채운 탁구공의 반발 계수를 구하기 위해 각각의 속도와 높이 그리고 시간 간격을 측정 하였다.

<- 물이 반쯤 찬 탁구공
반발계수 : 0.16(높이비)
3) 물을 꽉 채운 탁구공의 반발 계수를 측정하기 위해 2)실험과 마찬가지로 높이 그리고 시간 간격을 측정하였다.
물을 꽉 채운 탁구공
반발계수 : 0.82(높이비)
0.82(시간비)

4) 이제 식용유를 채운 탁구공의 반발계수를 측정 하기 위해 높이 그리고 시간 간격을 측정하였다.

식용유를 꽉 채운 탁구공
반발계수 : 0.89(높이비)
0.87(시간비)
5) 우유를 넣고 탁구공의 반발계수를 측정해보자.

우유를 꽉채운 탁구공
반발계수 : 0.86(높이비)
0.87(시간비)
4. 마지막으로 실험 과정 중 어려웠던 사항 및 주의 해야 할 것들
1) 우선 탁구공에 구멍을 뚫는 것 자체가 약간의 오차를 발생할 수 있는 요인을 만들었다. 따라서 이 오차를 최대한 줄이기 위해 구멍의 크기는 최소화해야 한다. 그리고 또한 구멍을 다시 막기 위해서 다시 순간 접착제를 사용하였는데 이것 역시 탁구공의 전체 매끈한 표면을 방해하는 요인이 될 수 있다. 따라서 보다 정확한 실험을 위해선 이 둘의 요인을 최대한 제거할 수 있는 방법을 강구해야 할 것이다.
2) 앞에서도 언급했지만 탁구공을 떨어뜨릴 바닥면이 편평해야 하며 일정한 위치여야 한다.모션 센서를 설치한 후에 실험 장소는 그곳에서 크게 벗어나지 않는 곳에 반복적으로 실험해야 할 것이다.
3) 반발계수를 측정하는 방법으로는 세 가지 방법이 있다. 첫 번째 속도차를 이용해서 반발계수를 측정하는 방법이다. 하지만 이 방법은 우선 속도 자체가 위치를 미분하여 나온 값이기 때문에 정밀하지 않아서 바람직한 방법은 아닌 듯 하다. 따라서 나머지 2가지 방법을 이용하여 서로 비교한 값을 반발계수로 채택하는 것이 바람직하다.
4) 탁구공을 떨어 뜨리는 순간에 주의 해야한다. 만약 두 손가락에서 약간의 시간차만 생기더라고 탁구공은 한쪽에서의 마찰력으로 인해 회전하게 되고 따라서 세차운동을 하면서 실험의 오차가 커지게 된다. 이러한 요인을 줄이기 위해 수동적이지만 최대한 많은 연습을 통해 동시에 떨어지도록 해야 할 것이다.
TIP) 반발 계수 유도하기~~!!
mv + MV = mv' + MV' >1
V' - v' = e(v - V) => V' = v' + e(v - V) >2
1번 식의 V'에다 2...
더 정확히~~~
두 물체의 충돌 전 속도를 v1 , v2 , 충돌 후의 속도를 v1' , v2' 라고 하면 반발계수 e0는
e0=충돌 후 상대속도/충돌 전 상대속도 =(v1'-v2')/(v1-v2)
e0 =(v'-V')/(v-V) .........①
로 정의 합니다.
운동량 보존 법칙은 충돌전의 운동량의 합= 충돌후의 운동량의 합 이라는 것입니다.
mv1+Mv2 = mv1'+Mv2' 에서
mv +MV = mv' +MV' .......................②
입니다.
이제 목표는 v' = f(v , V)e0,m,M .......................................③
V' = g(v, V)e0,m,M .......................................④
으로 나타내는 것이지요.
①식은 (v'-V')= e0 (v-V)................................ ⑤ 입니다.
⑤식과 ②식에서 V' 를 소거하면 ③식이 나오고,
③식을 ②식에 대입하면 ④식이 나옵니다.
또 다른 방법
e= - e 0 (반발계수를 이렇게 정의 할 수도 있습니다.)
⑤ -----------> V' = v'-e0(v-V)..............................⑤'
② -----------> V' = m(v-v')/M + V......................②'
그러므로 v'-e0(v-V) = m(v-v')/M +V 이고 v' 에 관하여 정리하면
v' + (mv'/M) = (mv/M) +V + e0(v-V)
{ 1+(m/M) }v' = (mv/M) + e0v +(1-e0)V
{ (M/M)+(m/M) }v' = {(m/M) +(e0M/M)}v +(1-e0)V
∴v' = (m+e0M)v/(M+m) +M(1-e0)V/(M+m)
e= - e 0 이면 (반발계수를 이렇게 정의 할 수도 있읍니다)
= v - M(1+e)(v-V)/(M+m).............③
③식을 ②'식에 대입하면 ④식이 나옵니다.
V' = m(v-v')/M +V
= (m/M){M(1+e)(v-V)/(M+m)} + V
= V +m(1+e)(v-V)/(M+m) ...............④
2021.09.14 - [물리 실험] MBL을 활용한 충격량과 운동량 보존 법칙 실험
[물리 실험] MBL을 활용한 충격량과 운동량 보존 법칙 실험
[물리 실험] MBL을 활용한 충격량과 운동량 보존 법칙 실험 Ⅰ. 실험목표 인터페이스를 이용한 1차원 충돌실험으로 충격량과 운동량의 관계를 이해하고 설명할 수 있고 2차원 충돌 실험에서 운동
orange025.tistory.com
2021.09.14 - [물리실험] MBL을 이용한 공기 저항계수 및 종단속도 측정
[물리실험] MBL을 이용한 공기 저항계수 및 종단속도 측정
[물리실험] MBL을 이용한 공기 저항계수 및 종단속도 측정 Ⅰ. 실험목표 가속도 센서를 이용하여 저항이 있는 공기 내에서 물체가 수직으로 떨어질 때 물체가 받는 공기 저항의 계수를 구할 수 있
orange025.tistory.com

'여기는 과학실 > 과학실험 이야기' 카테고리의 다른 글
| [물리실험] 포토게이트를 이용한 미끄럼마찰력 측정 (0) | 2021.09.19 |
|---|---|
| [물리실험] MBL을 활용한 정지마찰계수 측정 (0) | 2021.09.18 |
| [물리실험] 미급감쇠조화운동 (0) | 2021.09.16 |
| [물리실험] 단진동 운동 (0) | 2021.09.15 |
| [물리실험] MBL을 이용한 공기 저항계수 및 종단속도 측정 (1) | 2021.09.14 |