[물리실험] MBL을 이용한 공기 저항계수 및 종단속도 측정

Ⅰ. 실험목표
가속도 센서를 이용하여 저항이 있는 공기 내에서 물체가 수직으로 떨어질 때 물체가 받는 공기 저항의 계수를 구할 수 있고 모션 센서로 물체의 종단 속도를 측정할 수 있다.
Ⅱ. 이론배경
1. 실험에 대한 배경 지식
< 공기저항 >
공기의 끌림 저항은 우리 인류가 물리학적인 생각을 가지지 못하도록 막아온 일등 공신이라고 할 수 있다. 실제로 깃털은 망치보다 천천히 떨어지고, 이러한 관찰을 통해 누구나 무거운 것이 빨리 떨어진다는 오인(잘못된 개념)을 부지불식간에 가질 수 있다. 그리고 이러한 오인은 현대 과학교육에 큰 걸림돌이 되고 있다. 저항이 있는 공기 속을 연직으로 낙하하는 물체에 대해서는 반대 방향의 저항력 f가 존재 한다.
유체저항을 포함하여, 보통 공기 내에서의 저항 f(v) 는 간단한 함수가 아니고 실험을 통해 구하는 수밖에 없다. 그러나 많은 경우에 다음 근사식이 적용된다.

상수 C1, C2 는 유체의 종류, 낙하하는 물체의 질량과 크기 및 모양에 관계된다. 유체의 저항력은 항상 v 의 방향과 반대 방향이므로 위 식에서 절대값 기호는 꼭 필요하다. v가 느린 경우와 빠른 경우를 구분하여 별도로 고려하면 선형 저항이나 제곱형 저항 중 어느 한 형태가 주요 효과를 발휘한다.
선형의 경우 (C1에 지배됨) 공기의 저항력이 속도에 비례하는데, 임의의 시간 t에서의 속도 v는 다음과 같다.


지수항은 충분한 시간(t ≫ mg/C1) 후에는 무시할 수 있는 값으로 떨어지고, 속도는 극한값 mg/C1 에 접근한다. 즉, 저항력이 물체의 무게와 똑같고 방향이 반대여서 총 힘이 0이 되게 하는 속도이다. 이 때의 속력을 종단속도(terminal speed; 터미널 스피드)라고 한다.
제곱항인 경우, 공기의 저항력이 속도의 제곱에 비례하는데 임의의 시간 t에서의 속도 v와 종단속도는 다음과 같다.

그래프는 위의 선형의 경우와 비슷하게 나타나며, 선형의 그래프보다 먼저 종단속도에 접근한다.
2. 센서에 대한 배경 지식
< 가속도 센서 >
가속도 센서의 구조는 Movable mass와 Anchor가 빔으로 연결이 되어있고, Movable
mass에 연결되어 있는 Comb finger와 고정 전극 사이의 커패시턴스의 변화로 가속도를 측정하는 구조로 되어 있다. Anchor는 Ground plane에 연결되어 있어서, Comb finger, Mass, Beam, Anchor 및 Ground plane이 전부 전기적으로 동 전위를 나타낸다. 따라서 이 센서는 축과 축 가속도는 Comb finger와 고정 전극 사이의 커패시턴스 변화로 측정이
가능하다.

Ⅲ. 실험도구 및 방법
1. 실험도구 및 재료
실험a. 공기 저항 계수 구하기 : 가속도 센서, 표면적이 다른 정육면체

실험b. 종단 속도 구하기 : 모션 센서, 종이

2. 실험과정
실험a. 공기 저항 계수 구하기
① 한 모서리가 12cm, 18cm, 24cm 인 정육면체를 준비한다.
② 뚜껑 부분에 구멍을 뚫고 가속도 센서가 흔들리지 않게 고정시킨다.
③ 2m 정도의 높이에서 정육면체를 살며시 놓아 연직낙하 시킨다.
④ 여러 번 실험하여 평균값을 낸다.

실험b. 종단 속도 구하기
① 종이의 낙하지점에 모션센서를 설치한다.
② 50×50 크기의 종이를 높이 2~3m에서 떨어뜨린다.
③ 여러 번 실험하여 평균값을 낸다.

Ⅳ. 실험결과
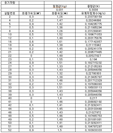
실험a. 공기 저항 계수 구하기
1) 한 면의 면적 : 12(cm) × 12(cm)


2) 한 면의 면적 : 18(cm) × 18(cm)


3) 한 면의 면적 : 24(cm) × 24(cm)


실험b. 종단 속도 구하기


Ⅴ. 실험 분석
공기 저항 계수를 구하기 위해서 고안했던 실험이다. 먼저 가속도 센서를 이용하여 낙하 가속도를 구하여 중력가속도와의 차이를 측정하는 것이 이 실험의 목적인 것이다. 하지만 낙하의 최종상태인 종단 속도 도달에는 실패했었다. 이유는 낙하거리의 부족이 가장 크다. 이런 문제점을 해결하기 위해서 가볍고 면적이 큰 물체를 준비했다. 도화지를 정사각형으로 잘라서 모션센서를 밑에 설치하고 낙하시켰다.
먼저 모양이 동일하지만 면적이 다른 정육면체를 낙하시켰을 때 낙하가속도가 줄어드는 것만 확인할 수 있었지만 점점 면적이 커져갈수록 그 크기가 눈에 띄게 커져 갔다. 낙하시간이 대략 1초가 되진 않았지만 저항 계수를 구할 수 있었고 그 값이 큰 변화 없이 동일함을 확인할 수 있었다. 가속도의 감소가 EXP함을 확인했고 이론에서도 그러함을 확인했다.
종단 속도의 도달을 위해서 여러 가지 실험을 시도했는데 그 중, 가장 성공 확률이 클 것이라고 생각했던 낙하산은 센서로 측정이 매우 곤란함을 알았다. 가속도 센서로 측정할 시에는 가속도 센서를 연결하는 선이 끌어내려져 원하는 방향으로 보내기 힘들었고 모션센서를 이용하게 되면 낙하산과 추의 거리가 존재하여 센서의 측정이 정확하지 않았다.

그리하여 도화지로 대각선을 접어서(이렇게 하면 중심의 접힌 부분이 추의 역할을 한다.)

뾰족한 부분이 아래로 가도록 하면 낙하의 거리가 짧아도 종단속도를 구할 수 있고 원하는 방향으로 거의 정확히 보낼 수 있었다. 실험결과도 거의 동일한 공기 저항 계수를 얻을 수 있었다.
마지막으로 이번 실험을 하며 여러 가지 (특히 물리 관련 이론을 더 깊게 공부할 수 있었다.)를 얻었다고 본다. 직접 실험 활동을 하는 것도 중요하지만 이러한 활동으로 학습 자료를 만들어 간 것이 더 큰 수확이라 생각하며 이번 자료들이 어디서든지 큰 역할을 하리라고 본다.
2021.07.20 - [물리] 기체의 단열팽창과 단열압축, 기압에 따른 끓는점 차이 실험(열역학)
[물리] 기체의 단열팽창과 단열압축, 기압에 따른 끓는점 차이 실험(열역학)
[물리] 기체의 단열팽창과 단열압축, 기압에 따른 끓는점 차이 실험(열역학) Ⅰ. 실험 주제 온도센서와 압력센서를 이용한 단열팽창 및 단열압축 실험(열역학) Ⅱ. 실험 목적 1) 기체의 단열팽창
orange025.tistory.com
2021.09.14 - [물리 실험] MBL을 활용한 충격량과 운동량 보존 법칙 실험
[물리 실험] MBL을 활용한 충격량과 운동량 보존 법칙 실험
[물리 실험] MBL을 활용한 충격량과 운동량 보존 법칙 실험 Ⅰ. 실험목표 인터페이스를 이용한 1차원 충돌실험으로 충격량과 운동량의 관계를 이해하고 설명할 수 있고 2차원 충돌 실험에서 운동
orange025.tistory.com

'여기는 과학실 > 과학실험 이야기' 카테고리의 다른 글
| [물리실험] 반발계수의 측정 (0) | 2021.09.17 |
|---|---|
| [물리실험] 미급감쇠조화운동 (0) | 2021.09.16 |
| [물리실험] 단진동 운동 (0) | 2021.09.15 |
| [물리 실험] MBL을 활용한 충격량과 운동량 보존 법칙 실험 (0) | 2021.09.14 |
| [물리실험] 기체의 단열팽창과 단열압축, 기압에 따른 끓는점 차이 실험(열역학) (0) | 2021.07.20 |